目录
解读周髀算经
华夏自动控制技术。自动化设计
水日晷图
水转大纺车
纺缕图。纺纬图
经车。纬车
天测地量。观象塔台
二十八宿测量。欧拉公式
天地八线表。十线表
二十八宿。八节。十六气。五色图
傅里叶变换。拉普拉斯变换
根据我们现在掌握的几点古代知识,我们终于可以解读,周髀算经了
周髀算经的重点,并非数学计算,其主要内容,是建立 北极星二十八宿的天地结构理论,然后按照这个理论,使用各种天文测量仪器,进行天测,地量
这里,我们结合上贴内容,讲解算经的其中一段内容
髀,骨,干,是指二十八宿经星,经线
勾,句,支,是指五曜纬星,纬线
二十八宿的测算,关键是 天测,地量,就是说,测算远程,量算近程,然后我们对二十八宿,计算圆形,对于日月五曜地,计算方形
正勾之法,日出入识其晷,晷两端相直者正东西,中折之以指表正南北
游仪,亦表也。游仪移望星为正,知星出中正之表西几何度,故曰游仪
根据周髀算经,测量用到的仪器有
中央立正表日晷表颠倒黑白仪表游仪表
在讲解之前,我们要先知道, 古代数学,并不是徒手计算,恰恰相反, 对于天测地量的工作,古人很早就借助自然力量,然后进行机械器物的多视图设计,成器,最终实现自动化或半自动化的操作,如图所示





另外,易经思想理论,被广泛应用在古代工业生产实践活动中
最常见的应用,是在养蚕,纺织方面,很早就实现了自动控制,进行自动化或半自动化生产,如 水轉大紡車
就是说, 工业自动化设计,正是 易经思想的主要研究方向








现在我们知道,易经图文,天地人,都有各自的衡量单位和算法,我们要懂得,如何将原图,拆解成最简结构图
好,我们现在讲解, 五曜方形图

由于天文计算,总是在天图和地图之间转换,所以需要大量的函数式, 以圆函方,以方局圆
记住这个定义。古文的积,是指连续操作,只要是两步以上操作,都叫做积,包括加减乘除,等等

積,金文下部是眼睛的視角,上部是四個象限的坐標系
我们在水平地面上,开始绘制经纬线交织形成的方格子,每个方格的基本单位是一尺,5-8 尺为一步,根据朝代不同而调整
然后是天的度数,跟地的算尺数,转换表
周天度数 365.25 度,设计成一格 2 度,黑白间隔
這裡提到的,節,就是二十四節氣的節
二十四節氣,分八節,十六氣,八節又分六啟二閉
六啟:春秋分,冬夏至,立春立夏二閉:立秋,立冬
古人一般在八節登觀象台,把二十八宿,分到十二宿次,然後觀察雲物氣色,推算十六氣
因為節的概念如此重要,古人又把天子的生辰,稱為節,如,萬壽節,天中節

一个方格为一平方尺后,以三自乘为基本单位,构成三三图,就是九个宫格图
三三九宫,是地图的基本结构,如图所示

好,我们现在进入周髀算经的天测地量程序
首先要选择一个标准的水平地面,在正中心建立观象塔台,如图所示

然后地面绘制成经纬线交织,形成方格的四方形状,一个方格线的标准长度是 1 尺
二十八宿围成一个圆周,叫做周天, 周天总度数 = 365.25 度
我们把这个圆展开为线段,设置为地面的 经纬线最长距离,为 365.25 尺
记住这个操作,是将 圆周长,展开为线段长
因为这样设了,我们就知道,为什么有单位圆,正弦函数 y = sinx,长度单位设为 2π


接着除以四,方便后续四个象限的分割
365.25 ÷ 4 = 91.3125 尺
然后测量的起算点,设置为 牛宿到 女宿之间,或者牛宿到 斗宿之间
塔台的正中间,是中央立正表,测量员从中央 元点出发,跟需要观察的星宿,始终保持在一个角度,叫做 同度
但是测量员走步时,是踏着经线和纬线的交点,跟着望星同度的情况下踏步
当然,前面说了,古代天测地量,已经比较理想了进行自动化操作

这样,在一定 岁数周期内,全年无休的操作之后,测量员在内走出一个矩形方阵,而观测的星宿数据,在外形成一个圆形
在时间同步之后,就形成一个外圆内方图
讲到这里,西方数学,初高中,大学本科的数学公式,定理,就全部解开了
我们依旧从正余弦公式讲起

如图所示, 当元点,测量员,观测星宿,三点一线的时候,我们称为,日月同度,二星同度
同时请注意,测量员是沿着宫格交点踏步的,只是宫格路线,无限逼近圆的轨迹线
最后,我们在一定岁数周期内,在时钟同步的情况下,将测量员踏步图,跟二十八宿中同度的星宿轨迹图,画在一起,就形成弦波图,如图所示
背星,对星,倍星,是指某一星宿 180 度正对的星宿,比如,在春分秋分时期,角宿正对娄宿,形成正弦余弦图
星,英语读作 sin,对星,读作 cosin

那麼,所謂的歐拉公式,就是故弄玄虛了,不過是上面的二星同度,變換一下表達式而已

明白了 二星同度之后,我们继续引入多颗星组,进行复杂一点的计算

这样,就引入三经星,三纬星,构成三经线,三纬线,加上北极星天地线,形成八线表,十线表

我们把上述弦图,波图,都统一在一个结构图中,如图所示

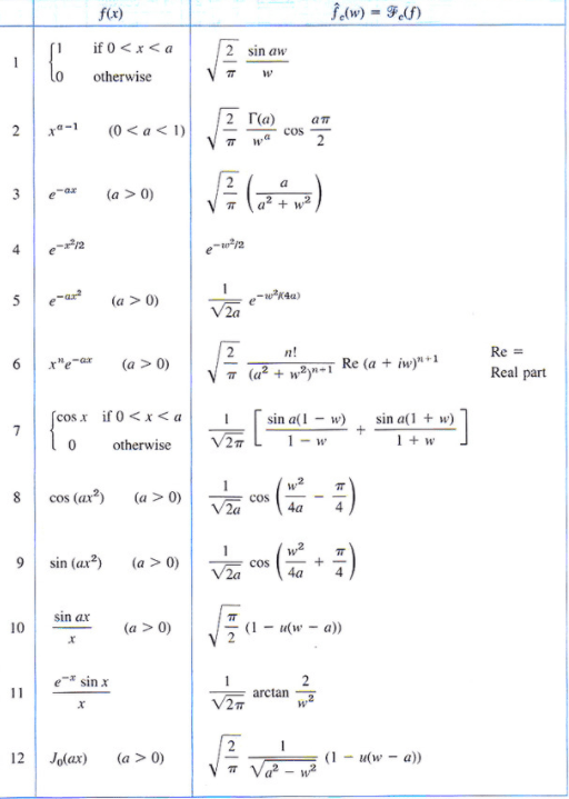
最后,我们在八节另加四气,作为二十八宿经停的宿次空间,同样建立弦波图,就得到傅里叶变换,拉普拉斯变换的公式,图表

把二十八宿节气弦图,再结合不同节气的气色图,如图所示

只要把符号简单变一下,就是非常非常简单的傅里叶变换,拉普拉斯变换


就是说,我们在易经,北极星二十八宿天地理论指导下,可以非常清晰的明白,欧拉,傅里叶,拉普拉斯,这些公式在讲什么,具体从何而来。
文章来自网络,作者公子鑌。供参考。


